当前位置:首页>新闻中心>专题推荐>"黑色素"杀手-抗坏血酸葡糖苷(AA2G)

"黑色素"杀手-抗坏血酸葡糖苷(AA2G)

点击数:198发布时间:2024-08-05

抗坏血酸
维生素C具有防治坏血酸的作用,因此又叫抗坏血酸,是一种水溶性的维生素。天然维生素C多存在于新鲜的水果(苹果、橙子和猕猴桃等)和蔬菜(西红柿、黄瓜和白菜等)中。由于人体内缺乏维生素C生物合成最后一步反应的关键酶,即L-古洛糖酸-1,4-内酯氧化酶(GLO),因而必须从食物中摄取维生素C。
但其实维生素C被运用在护肤品中,是不单单以其原形态添加其中的,护肤品中常用的成分有很多是属于维生素C的衍生物。
抗坏血酸衍生物分类
l 抗坏血酸:这是维生素C的最常见形式,也是最活跃的形式。
l 抗坏血酸葡糖苷:和维生素C一样有美白的效果;且在不同酸碱性溶液里都有活性,因此可以随意搭配其他的成分。
l 抗坏血酸钠:这是抗坏血酸和钠离子的盐,具有相似的效果,但容易溶解于水。
l 抗坏血酸镁:这是抗坏血酸和镁离子的盐,也容易溶解于水。
l 抗坏血酸钙:这是抗坏血酸和钙离子的盐,对于那些对钠过敏的人很有用。
l 抗坏血酸多肽:在吸收后可以分解为VC和多肽,且比VC本身更加稳定,市面上已有的产品添加量都很低,只是作为辅助活性成分。
抗坏血酸葡糖苷
抗坏血酸葡糖苷(INCI名称:ASCORBYL GLUCOSIDE),俗名维生素C糖苷,简称AA2G,是一款稳定的维生素C衍生物。AA2G保持了维生素C抗氧化的生理特性而且在水和油中均具有相当的溶解度,同时具有很强的耐光性和耐热性还原性和抗氧化性,有效抵抗衰老。并且能够直接排出表皮层中已经形成的黑色素,达到强效快速的美白效果。韩国化妆品中该原料规定的有效用量(质量分数)为2%。中国台湾地区化妆品中规定该原料的的限量或使用范围(质量分数)同样为2%。
【产品货号】ACF0053B
【产品名称】抗坏血酸葡糖苷,AA2G
【CAS号】129499-78-1
【EC号】 425-980-0
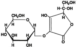
【分子式】C12H18O11
【化学式】
 
【含量】≥98%
【产品外观】白色晶体粉末
【包装规格】1KG, 5KG, 10KG, 25KG
化妆品领域应用
·提亮肤色、抑制黑色素形成
·抵御UV损伤,抑制紫外线照射对细胞的损伤
·抗衰老,促进胶原蛋白合成,改善皱纹和皮肤粗糙

图片来源于网络
抗坏血酸葡糖苷市场前景
抗坏血酸葡糖苷由资生堂与林原株式会社为美白化妆品研制,克服了维生素C易被氧化的缺点,在多种条件下稳定,保留维生素C活性,具有美白和调节胶原蛋白合成效果,常用于高级化妆品。此外,它还在食品、医药领域有应用,如食品添加剂、减少血栓和炎症并发症等。
西宝生物作为化妆品、医美核心原料供应商,运用自主创新合成生物学技术,为相关生产企业提供质量稳定的优质原料,从源头把控品质安全。西宝生物新推出自研产品--抗坏血酸葡糖苷,并已于近期按照《化妆品注册备案管理办法》完成了原料报送登记,报送码为:004104-10079-6191。